Ifa B C 3 And B2 C2 77 Find Ab Ca Brainly In
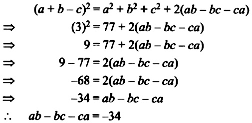
Click here👆to get an answer to your question ️ If a b c = 9 and ab bc ca = 26 , then find a^2 b^2 c^2If a b c = 0 and a2 b2 c2 = ab bc ac, then it follows that 0 = (a b c)2 = a2 b2 c2 2(ab bc ac), or a2 b2 c2 = −2(ab bc ac) Put this together and we will see that in fact a2 b2 c2 = 0, There is an important principle in algebra, that the order of operations must be observed (a b c)2 requires you to perform the
If ab 12 cm bc 16 cm
If ab 12 cm bc 16 cm-B 15 C 12 D 13 Please scroll down to see the correct answer and solution guide Right Answer is D SOLUTION जैसा कि हम जानते हैं,Given, a b c = 15 and a2 b2 c2 = Now, a3 b3 c3 3abc = (a b c) (a2 b2 c2 ab bc ca) Again, (a b c)2 = a2 b2 c2 2ab 2bc 2ca
English File 3e Pre Int Sb Answer Key
$\begingroup$ Reason I found it to be best answer I only had to correct the first statement of MY ATTEMPT, so I had to begin with $2 (a^2 b^2 c^2) > 2 (ab bc ca)$, and the rest follows Also, this is a more direct method, and since it uses AMGM inequality I like this better $\endgroup$SOLUTION As we know, a 3 b 3 c 3 – 3abc = (a b c) (a b c) 2 – 3 (ab bc ca) ⇒ a 3 b 3 c 3 – 3 × 7 = 3 3 2 – 3 × (13) ⇒ a 3Click here👆to get an answer to your question ️ If a b c = 15 and a^2 b^2 c^2 = , then find the value of a^3 b^3 c^3 3abc
If abc=15, abbcca=60 then a^2b^2c^2= Books Physics NCERT DC Pandey Sunil Batra HC Verma Pradeep Errorless Chemistry NCERT P Bahadur IITJEE Previous Year Narendra Awasthi MS Chauhan Biology NCERT NCERT Exemplar NCERT Fingertips Errorless Vol1 Errorless Vol2 Maths NCERT RDयदि a b c = 3, ab bc ca = (13) और abc = 7 है, तो √a 3 b 3 c 3 4 का मान क्या होगा?To prove this equation nonnegative, you will have to convert the equation in terms of perfect square form containing a,b and c Now, a²b²c²abbcca = ½ • ( 2a²2b²2c²2ab2bc 2ca ) = ½ • ( If a b c = 0 and a2 b2 c2 = ab bc ac, then it follows that 0 = (a b c)2 = a2 b2 c2 2(ab bc ac), or a2 b2 c2 = −2(ab
If ab 12 cm bc 16 cmのギャラリー
各画像をクリックすると、ダウンロードまたは拡大表示できます
![]() Math Physics Chemistry Questions Discussion Lists Dated 17 04 11 | ![]() Math Physics Chemistry Questions Discussion Lists Dated 17 04 11 | ![]() Math Physics Chemistry Questions Discussion Lists Dated 17 04 11 |
![]() Math Physics Chemistry Questions Discussion Lists Dated 17 04 11 | ![]() Math Physics Chemistry Questions Discussion Lists Dated 17 04 11 | Math Physics Chemistry Questions Discussion Lists Dated 17 04 11 |
![]() Math Physics Chemistry Questions Discussion Lists Dated 17 04 11 | ![]() Math Physics Chemistry Questions Discussion Lists Dated 17 04 11 | ![]() Math Physics Chemistry Questions Discussion Lists Dated 17 04 11 |
![]() Math Physics Chemistry Questions Discussion Lists Dated 17 04 11 | ![]() Math Physics Chemistry Questions Discussion Lists Dated 17 04 11 | ![]() Math Physics Chemistry Questions Discussion Lists Dated 17 04 11 |
![]() Math Physics Chemistry Questions Discussion Lists Dated 17 04 11 | ![]() Math Physics Chemistry Questions Discussion Lists Dated 17 04 11 | Math Physics Chemistry Questions Discussion Lists Dated 17 04 11 |
![]() Math Physics Chemistry Questions Discussion Lists Dated 17 04 11 | ![]() Math Physics Chemistry Questions Discussion Lists Dated 17 04 11 | ![]() Math Physics Chemistry Questions Discussion Lists Dated 17 04 11 |
Math Physics Chemistry Questions Discussion Lists Dated 17 04 11 | ![]() Math Physics Chemistry Questions Discussion Lists Dated 17 04 11 | ![]() Math Physics Chemistry Questions Discussion Lists Dated 17 04 11 |
![]() Math Physics Chemistry Questions Discussion Lists Dated 17 04 11 | ![]() Math Physics Chemistry Questions Discussion Lists Dated 17 04 11 | ![]() Math Physics Chemistry Questions Discussion Lists Dated 17 04 11 |
Math Physics Chemistry Questions Discussion Lists Dated 17 04 11 | Math Physics Chemistry Questions Discussion Lists Dated 17 04 11 | ![]() Math Physics Chemistry Questions Discussion Lists Dated 17 04 11 |
Math Physics Chemistry Questions Discussion Lists Dated 17 04 11 | ![]() Math Physics Chemistry Questions Discussion Lists Dated 17 04 11 | ![]() Math Physics Chemistry Questions Discussion Lists Dated 17 04 11 |
![]() Math Physics Chemistry Questions Discussion Lists Dated 17 04 11 | Math Physics Chemistry Questions Discussion Lists Dated 17 04 11 | ![]() Math Physics Chemistry Questions Discussion Lists Dated 17 04 11 |
![]() Math Physics Chemistry Questions Discussion Lists Dated 17 04 11 | ![]() Math Physics Chemistry Questions Discussion Lists Dated 17 04 11 | ![]() Math Physics Chemistry Questions Discussion Lists Dated 17 04 11 |
![]() Math Physics Chemistry Questions Discussion Lists Dated 17 04 11 | ![]() Math Physics Chemistry Questions Discussion Lists Dated 17 04 11 | ![]() Math Physics Chemistry Questions Discussion Lists Dated 17 04 11 |
Math Physics Chemistry Questions Discussion Lists Dated 17 04 11 | ![]() Math Physics Chemistry Questions Discussion Lists Dated 17 04 11 | Math Physics Chemistry Questions Discussion Lists Dated 17 04 11 |
![]() Math Physics Chemistry Questions Discussion Lists Dated 17 04 11 | ![]() Math Physics Chemistry Questions Discussion Lists Dated 17 04 11 | ![]() Math Physics Chemistry Questions Discussion Lists Dated 17 04 11 |
![]() Math Physics Chemistry Questions Discussion Lists Dated 17 04 11 | ![]() Math Physics Chemistry Questions Discussion Lists Dated 17 04 11 | ![]() Math Physics Chemistry Questions Discussion Lists Dated 17 04 11 |
Math Physics Chemistry Questions Discussion Lists Dated 17 04 11 | ![]() Math Physics Chemistry Questions Discussion Lists Dated 17 04 11 | Math Physics Chemistry Questions Discussion Lists Dated 17 04 11 |
Math Physics Chemistry Questions Discussion Lists Dated 17 04 11 | ![]() Math Physics Chemistry Questions Discussion Lists Dated 17 04 11 | ![]() Math Physics Chemistry Questions Discussion Lists Dated 17 04 11 |
Math Physics Chemistry Questions Discussion Lists Dated 17 04 11 | ![]() Math Physics Chemistry Questions Discussion Lists Dated 17 04 11 | Math Physics Chemistry Questions Discussion Lists Dated 17 04 11 |
![]() Math Physics Chemistry Questions Discussion Lists Dated 17 04 11 | ![]() Math Physics Chemistry Questions Discussion Lists Dated 17 04 11 | Math Physics Chemistry Questions Discussion Lists Dated 17 04 11 |
![]() Math Physics Chemistry Questions Discussion Lists Dated 17 04 11 | ![]() Math Physics Chemistry Questions Discussion Lists Dated 17 04 11 | Math Physics Chemistry Questions Discussion Lists Dated 17 04 11 |
![]() Math Physics Chemistry Questions Discussion Lists Dated 17 04 11 | ![]() Math Physics Chemistry Questions Discussion Lists Dated 17 04 11 | Math Physics Chemistry Questions Discussion Lists Dated 17 04 11 |
![]() Math Physics Chemistry Questions Discussion Lists Dated 17 04 11 | ![]() Math Physics Chemistry Questions Discussion Lists Dated 17 04 11 | Math Physics Chemistry Questions Discussion Lists Dated 17 04 11 |
![]() Math Physics Chemistry Questions Discussion Lists Dated 17 04 11 | ![]() Math Physics Chemistry Questions Discussion Lists Dated 17 04 11 | ![]() Math Physics Chemistry Questions Discussion Lists Dated 17 04 11 |
![]() Math Physics Chemistry Questions Discussion Lists Dated 17 04 11 | ![]() Math Physics Chemistry Questions Discussion Lists Dated 17 04 11 | Math Physics Chemistry Questions Discussion Lists Dated 17 04 11 |
![]() Math Physics Chemistry Questions Discussion Lists Dated 17 04 11 | Math Physics Chemistry Questions Discussion Lists Dated 17 04 11 | ![]() Math Physics Chemistry Questions Discussion Lists Dated 17 04 11 |
![]() Math Physics Chemistry Questions Discussion Lists Dated 17 04 11 | ![]() Math Physics Chemistry Questions Discussion Lists Dated 17 04 11 | ![]() Math Physics Chemistry Questions Discussion Lists Dated 17 04 11 |
![]() Math Physics Chemistry Questions Discussion Lists Dated 17 04 11 | ![]() Math Physics Chemistry Questions Discussion Lists Dated 17 04 11 | ![]() Math Physics Chemistry Questions Discussion Lists Dated 17 04 11 |
![]() Math Physics Chemistry Questions Discussion Lists Dated 17 04 11 | Math Physics Chemistry Questions Discussion Lists Dated 17 04 11 | ![]() Math Physics Chemistry Questions Discussion Lists Dated 17 04 11 |
![]() Math Physics Chemistry Questions Discussion Lists Dated 17 04 11 | ![]() Math Physics Chemistry Questions Discussion Lists Dated 17 04 11 | ![]() Math Physics Chemistry Questions Discussion Lists Dated 17 04 11 |
![]() Math Physics Chemistry Questions Discussion Lists Dated 17 04 11 | ![]() Math Physics Chemistry Questions Discussion Lists Dated 17 04 11 | Math Physics Chemistry Questions Discussion Lists Dated 17 04 11 |
![]() Math Physics Chemistry Questions Discussion Lists Dated 17 04 11 | ![]() Math Physics Chemistry Questions Discussion Lists Dated 17 04 11 | ![]() Math Physics Chemistry Questions Discussion Lists Dated 17 04 11 |
![]() Math Physics Chemistry Questions Discussion Lists Dated 17 04 11 | ![]() Math Physics Chemistry Questions Discussion Lists Dated 17 04 11 | ![]() Math Physics Chemistry Questions Discussion Lists Dated 17 04 11 |
![]() Math Physics Chemistry Questions Discussion Lists Dated 17 04 11 |
If a2 b2 c2 = and a b c = 0, find ab bc ca Open in App Solution Recall the formula Given that Then we have Suggest Corrections 0 Same exercise questionsExample 3 Find the value of a 2 b 2 c 2 if (ab bc ca) = 10 and (a b c) = using (a b c) 2 formula Solution To find a 2 b 2 c 2 Given that (abbcca) = 10 and (a b c) = Using the (a b c) 2 formula, (a b c) 2 = a 2 b 2 c 2 2(ab bc ca) () 2 = a 2 b 2 c 2 2(10) 400 = a 2 b 2 c 2 a 2 b 2 c 2 = 400 = 4
Incoming Term: section 15 2 b or c, if a b and b c then, for c 2a and a b c, if a b then ca cb, if a 13 b 14 c 15, if ac bc then a b, if ab 12 cm bc 16 cm,















































































0 件のコメント:
コメントを投稿